ISTQB CTFL-2018 Exam
ISTQB Certified Tester Foundation Level 2018 (Page 2 )

Updated On: 1-Feb-2026

Which of the following BEST describes a Test Case?

  1. A statement about “what to test” in terms of measurable coverage criteria from analysis of the test basis.
  2. A set of preconditions, inputs, actions, expected results and postconditions developed based on test conditions.
  3. A description of the test objectives to be achieved and the means and the schedule for achieving them.
  4. A source to determine expected results to compare with the actual result of the system under test.

Answer(s): B



A holiday club restricts those booking the holiday, to people between the ages of 18 and 30 inclusive. Using three-point boundary values, what ages would be required to test the lower and upper boundary?

  1. 17, 18, 19, 29, 30, 31.
  2. 17, 18, 19, 30, 31, 32.
  3. 18, 19, 20, 28, 29, 30.
  4. 16, 17, 18, 30, 31, 32.

Answer(s): A



Given the following decision tables, what is the expected result for the test case listed below?


Test Case: Purchase a Toaster weighing 9kg for £10.

  1. No need to pay in cash, no free delivery.
  2. Must pay in cash, no free delivery.
  3. No need to pay in cash, free delivery.
  4. Must pay in cash, free delivery.

Answer(s): A



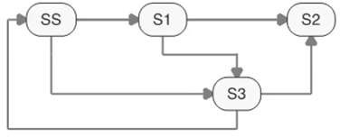
Given the following state transition diagram where SS is the start state:


Which of the following answers describes a test case that only uses valid transitions to exercise all states, using the minimum number of transitions?

  1. SS-S3-SS-S1-S3-S2.
  2. SS-S3-S2-S1.
  3. SS-S1-S2-S3.
  4. SS-S1-S3-S2.

Answer(s): D



Which statement about deriving test cases from a use case is TRUE?

  1. Test cases are designed to exercise the defined behaviours.
  2. There should only be one test case for each use case.
  3. Test cases can only be derived if there is an activity diagram.
  4. It is not possible to measure use case test coverage.

Answer(s): A



Viewing page 2 of 9
Viewing questions 6 - 10 out of 93 questions



Post your Comments and Discuss ISTQB CTFL-2018 exam prep with other Community members:

Join the CTFL-2018 Discussion